M
Moli
Baike
首页
任务
职业
角色
地图
魔物
NPC
物品
技能
人物技能
魔物技能
攻略文章
首页
/
攻略
/
经验分享
/
怀旧服双百武器制作数据表(图片版)
怀旧服双百武器制作数据表(图片版)
《
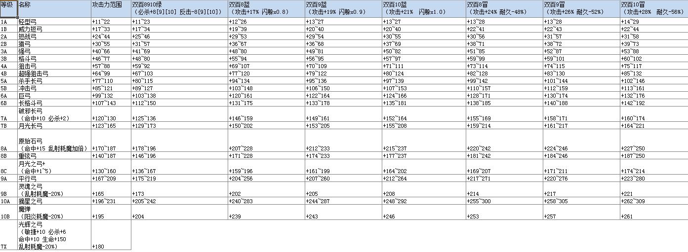
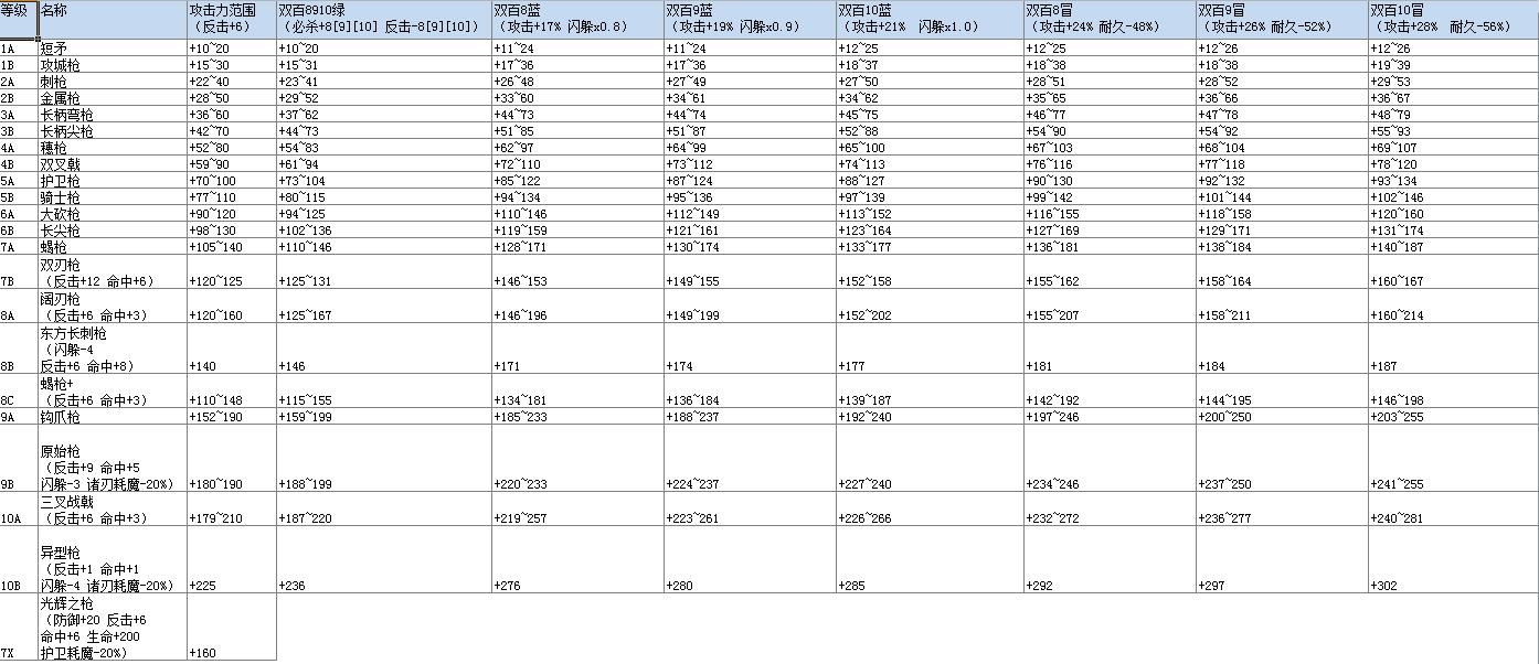
怀旧服双百武器(剑、斧)制作数据表(文字版)
》
《
怀旧服双百武器(枪、弓)制作数据表(文字版)
》
《
怀旧服双百武器(杖、小刀、回力镖)制作数据表(文字版)
》